一、基本情況
1、主要職能:承擔保護與合理利用土地資源、礦產資源等自然資源的責任;承擔規范全市國土資源管理秩序的責任;承擔優化配置國土資源的責任;負責規范國土資源權屬管理;承擔全市耕地保護的責任,確保規劃確定的耕地保有量和基本農田面積不減少;承擔節約集約利用土地資源和提供全市土地利用各種數據的責任;承擔規范國土資源市場秩序的責任;負責全市礦產資源開發的管理,依法管理采礦權的審批登記發證和轉讓審批登記,組織編制實施礦業權設置方案;承擔地質災害預防和治理的責任,組織并指導應急處置,組織、協調、指導和監測地質災害防治工作,制定并組織實施重大地質災害等國土資源突發事件應急預案;負責市區四個辦事處、曾都區淅河鎮國土資源直接管理;依法征收資源收益,規范、監督資金使用;實施國土資源科技與外事工作規劃,推進國土資源科技進步,組織實施重大科技專項,推進國土資源信息化和信息資料的公共服務;為重點企業提供“直通車”服務;承辦上級交辦的其他事項。
2、市國土資源局屬政府職能部門,為行政編制,公務員編制22人,工勤編制2人。目前行政在職20人,工勤在職人員1人,退休8人。目前新招錄2人,編制還未正式進入單位。
二、收支預算情況
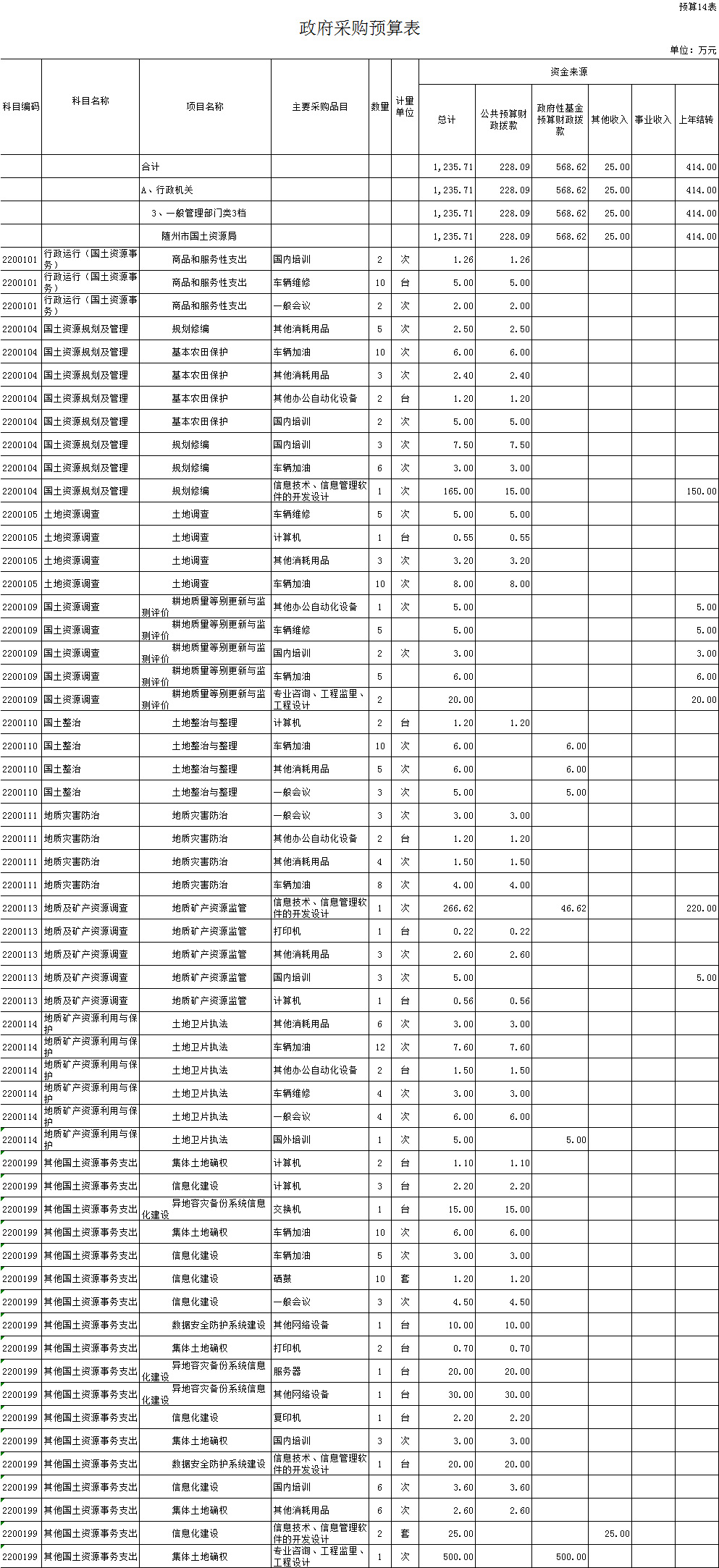
2016年度收支預算總額分別為2040.77萬元,其中財政撥款1550.77萬元(經費撥款326.57萬元、上級專項轉移支付28萬元、政府性基金收入1196.20萬元),上年度財政撥款結轉490萬元。工資福利性支出240.23萬元,對個人和家庭補助支出62.52萬元,商品和服務支出100.15萬元,其它支出1637.87萬元。
三、“三公”經費預算情況
2016年度三公經費財政撥款預算18.29萬元,其中公務接待預算1.75萬元,車輛運行維護預算16.54萬元。三公經費預算根據年度在職人員數按一般管理部門類3檔編制,與上年度比略有減少,主要是新招錄人員編制未到位。






















掃一掃在手機上查看當前頁面
您訪問的鏈接即將離開“隨州市人民政府”門戶網站,是否繼續?
您的瀏覽器版本太低!
為了更好的瀏覽體驗,建議升級您的瀏覽器!