目錄
一、隨州市委黨校概況
(一)主要職責:
(二)機構設制及人員編制情況:
二、2020年度部門決算情況說明
?(一)2020年度決算收支情況說明
?(二)一般公共財政撥款收入支出決算情況說明
(三)關于機關運行經費支出說明
(四)關于“三公”經費支出說明
(五)關于政府采購支出說明
(六)政府性基金預算收支情況說明
(七)關于國有資產占用情況說明
(八)關于2020年度預算績效情況的說明,以及市委黨校部門整體支出績效自評表一張以及項目績效目標自評表三張,隨州市委黨校績效評價報告.doc附件
三、名詞解釋
四、市委黨校2020年部門決算表(附后)
一、隨州市委黨校概況
(一)黨校(行政學院)是黨領導的培養黨的領導干部的學校,是黨委的重要部門,是培訓黨的各級領導干部的主渠道,是黨的思想理論建設的重要陣地,是黨和國家的哲學社會科學研究機構和重要智庫。
(二)機構設制及人員編制情況:
隨州市委黨校是全額撥款的參照公務員法管理事業單位,內設辦公室、基層黨校科、政工科、理論教研室、黨性教研室、市情研究室、教務科、學員組織科、公務員培訓科、總務科、網絡管理科、曾都分校12個科室,無下設二級單位。2020年末,單位編制50名事業編,3名“以錢養事“編制”,在職人員49人,較上年度在職人員48人,增加1人,變動情況為減少兩人,分別是以錢養事1人解聘,曾都區劃入公益性崗位1人合同期滿;增加三人,分別是教師招聘1人,公務員招考1人,遴選財務1人。
二、2020年度部門決算情況說明
(一)2020年度決算收支情況說明
市委黨校2020年決算總收入2541.85萬元,比上年度減1355.41萬元,減少了34.78%,主要原因是隨著校園配套設施的完善,項目經費“新校區教學設備購置”的預算較上年大幅減少。
本年決算支出2453.74萬元,比上年支出4483.54萬元減少了2029.8萬元,減少了45.27%。本年支出具體結構為:基本支出1146.65萬元,占46.73%;項目支出1307.09萬元,占53.27% 。支出減少的原因主要是受疫情影響,今年上半年沒有異地培訓;今年未進行公務員培訓班;新校區設備購置費支出大幅減少。
(二)一般公共財政撥款收入支出決算情況說明
2020年度一般公共財政撥款收入為2541.85萬元,比上年度減1355.41萬元,減少了34.78%,主要原因是隨著校園配套設施的完善,項目經費“新校區教學設備購置”的預算較上年大幅減少。
???2020年度一般公共財政撥款支出2453.74萬元,比上年度的4483.54萬元減少了2029.8萬元,減少了45.27%。其中人員經費支出為1017.79萬元,占41.48%,公用經費支出為128.87萬元,占5.25%,項目經費支出為1307.09萬元,占53.27% 。支出減少的原因主要是受疫情影響,今年上半年沒有異地培訓;今年未進行公務員培訓班;新校區設備購置費支出大幅減少。
??(三)關于機關運行經費支出說明
???2020年機關日常公用經費支出128.87萬元,主要保障機關正常運轉、完成日常工作任務發生的各項支出。其中辦公費13.09萬元、印刷費3.74萬元、水費2.53萬元、電費26.44萬元、郵電費1.34萬元、物業管理費0.39萬元,因公出國費用0萬元,差旅費6.75萬元、維修(護)費2.11萬元、租賃費0.68元、培訓費0萬元、 勞務費0.09萬元、 委托業務費6.97萬元,公務接待費0.26萬元、工會會費14.19萬元、 福利費10.85萬元,公務用車運行維護費2.21萬元、其他交通費用1.9萬元,辦公設備購置0.9萬元,其他商品和服務支出34.43萬元。比上年156.56萬元減少27.69萬元,減少了17.68%,減少的原因是嚴格控制公用經費支出,壓減三公經費。
(四)關于“三公”經費支出說明
????2020年“三公經費”支出2.47萬元,比年初預算數14.49萬元少12.02萬元,減少82.95%;比2019年“三公經費”決算數10.7萬元減少8.23萬元,減少76.92%。減少主要原因是受疫情影響未能出國和嚴格控制三公經費支出。
????2020年公務接待費決算數為0.26萬元,接待批次4次,接待人24次人,比2019年決算數少0.59萬元,減少了69.41%,原因是受疫情影響往來業務減少,嚴格按照相關規定,嚴格執行中央八項規定,從嚴控制接待費用。
公務用車運行費決算數為2.21萬元,比上年度決算減少?2.89萬元,減少了56.67%,原因是使用公車次數、里程減少。公務用車購置費無預算,無支出。
因公出國(境)費決算數為0萬元,比上年度決算數減少4.75萬元,減少了100%,原因是受疫情影響未能出國。
(五)關于政府采購支出說明
黨校嚴格執行政府采購相關政策,對辦公用品、辦公設備的采購等凡是要求實行政府采購的一律到財政指定的政府采購定點單位進行采購。本年度黨校政府采購支出共計547.05萬元,其中政府采購貨物支出61.92萬元,政府采購工程支出50.96萬元,政府采購服務支出434.17萬元。
(六)政府性基金預算收支情況說明
市委黨校無政府性基金預算。
(七)關于國有資產占用情況說明
截止到2020年12月31日,固定資產原值為2464.29萬元,累計折舊/攤銷為511.99萬元,固定資產凈值為1952.30萬元,市委黨校保留兩輛公務車。無在建工程和無形資產。
本期配置固定資產(即增加了)1512.66萬元,本期處置國有資產(即減少了)147.5萬元。
2020年度,市委黨校認真落實國有資產的各項管理規定,對資產登記造冊,管理落實到人,核對資產名稱、規格型號、配置數量,確保賬賬、賬實、賬表相符。
(八)關于2020年度預算績效情況的說明,以及市委黨校部門整體支出績效自評表一張以及項目績效目標自評表四張。
1. 預算績效管理工作開展情況
根據預算績效管理要求,市委黨校對2020年度部門整體支出開展了績效評價,從評價情況來看,整體支出績效自評得分95.11分。市委黨校整體業務預算金額為2739.15萬元,執行數為2453.74萬元,執行率為89.58%,預算執行情況好,執行率高。基本支出資金的使用,能保障黨校機關日常工作的高效正常運轉。項目支出資金的使用,保障了學員培訓工作的正常運轉,完成了所有培訓任務;保障了學員就餐;保障了外包服務人員服務費和校園的運行維護;保障了教學設備購置支出;學員對黨校教學辦學情況的滿意度較高。
2、部門決算中項目績效自評結果
項目績效自評分別是“干部培訓和教學業務”、“學員就餐補助”、“新校區教學設備購置”和“校園后勤服務外包和運行維護費”。
“干部培訓和教學業務”預算金額為249萬元,下達197萬元,執行數為187萬元,執行率為75.1%。因疫情影響,根據市財政的要求,要削減年初預算,我校將此項目調減了52萬元,剩197萬元可用,進度指標,完成全部培訓任務,完成率100%。經濟效益指標上,預算(成本)控制,沒有超出預算,完成率100%;可持續影響指標上,建章立制,各項工作有章可循,完成率達98.51%。服務對象滿意度指標上,學員滿意度為98.56%,完成了年初大于等于95%的目標。
“學員就餐補助”預算金額為106萬元,執行數為54.98萬元,執行率為75.2%。受疫情影響,第一期主體班班次和人次比以往少,按照實際天數和人數,財政審核撥付,此項目實際下達指標金額為54.98萬元。進度指標,保障學員就餐,支付食材款,完成率100%。經濟效益指標上,預算(成本)控制,學員就餐費不超過預算,完成率100%;可持續影響指標上,食材健康,做到按時就餐。服務對象滿意度指標上,學員滿意度為97.45%,完成了年初大于等于95%的目標。
“新校區教學設備購置”預算金額為846萬元,執行數為476.33萬元,執行率為56.30%。按照合同約定,施工具體進度,來完成支付。經濟效益指標上,預算(成本)控制,按規定程序撥付,未超過預算,完成率100%;可持續影響指標上,購買的設備質量良好,耐用、實用、無公害,后續還要進一步做好維護。服務對象滿意度指標上,學員滿意度為98.51%,完成了年初大于等于90%的目標。
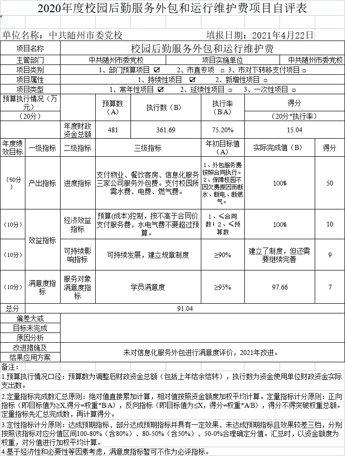
“校園后勤服務外包和運行維護費”預算金額為481萬元,執行數為361.69萬元,執行率為75.2%。因疫情影響,2020年1-4月水電費及相關服務費用支出略微有所下降。進度指標,按照合同執行,支付物業、餐飲客房、信息化服務三家公司服務外包費;支付校園所需水費、電費、燃氣費,完成率100%。經濟效益指標上,預算(成本)控制,按不高于合同價支付服務費,水電氣費未超過預算,完成率100%;可持續影響指標上,以可持續發展為根本,建立了規章制度,但還需要繼續完善。服務對象滿意度指標上,學員滿意度為97.66%,完成了年初大于等于95%的目標。





三、名詞解釋
1、財政撥款收入:指行政、事業單位從同級財政部門取得的財政預算資金。
2、“三公”經費:按照有關規定,“三公”經費包括因公出國(境)費、公務接待費、公務用車購置及運行費。
3、基本支出:指保障機構正常運轉、完成日常工作任務而發生的人員支出和公用支出。
4、項目支出:指在基本支出之外為完成特定行政任務和事業發展目標所發生的支出。
5、機關運行經費:是行政單位和參照公務員法管理的事業單位使用一般公共預算財政撥款安排的基本支出中的日常公用經費支出。
四、市委黨校2020年部門決算表(附后)









掃一掃在手機上查看當前頁面
您訪問的鏈接即將離開“隨州市人民政府”門戶網站,是否繼續?
您的瀏覽器版本太低!
為了更好的瀏覽體驗,建議升級您的瀏覽器!